Hideg Attila független üzletviteli tanácsadó, nyugdíjspecialista honlapja

A legvégén nem az fog számítani, hogy mennyi év volt életedben, hanem hogy mennyi élet volt éveidben. Abraham Lincoln "Életünkben leginkább arra van szükségünk,hogy legyen valaki,aki rábír,hogy megtegyük,amire KÉPESEK VAGYUNK!"

Hamvadó cigarettavég, azaz elfüstölt élet


Egészséges életkilátások

Egy 2007-es Eurostat felmérés szerint a magyar férfiak 55, a nők 58 egészséges életévre számíthatnak születésük pillanatában. (Szerényen jegyzem meg, hogy mindez  pl. az Európai Unió átlagában 62, illetve 63 év!)

Ha ezen statisztikához hozzávesszük azt a szintén statisztikai adatot, mely szerint a hazai női átlag életkor 79 év, akkor egy következtetés biztosan levonható: a magyar nők többsége több mint 20 évet különböző betegségekkel küzdve fog leélni.

Mindennek több összetevője közül (stressz, mozgáshiány, elhízás, esetleg ital) egy csupán a dohányzás, ám jelentős összetevő mindenképpen!

Az Országos Lakossági Egészség Felmérés 2000 kutatási jelentése szerint a 18 év feletti magyar férfiak 40,7%-a, a nők 26,3%-a dohányzik, tehát minden harmadik magyar állampolgár. Gondoljunk bele, ha ezen 3 millió ember mindegyike az elfüstölt  egészsége helyett a vagyonát gyarapítaná , milyen hatással lenne mindez a családjuk életkilátására, saját egészségükre? 


Számoljunk, megéri

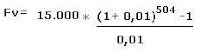
Ha egy átlag dohányost veszünk aki nem egészen egy doboz (ára 600-900 Ft/doboz) cigarettát füstöl el naponta (ezt számoljuk 500 Ft/nap áron), az havonta 15.000 Ft. Ha ezt 18 éves korától 60 éves koráig teszi, az alábbi egyszerű függvény mutatja meg milyen összegtől esik el, ha azt élete során füstölés helyett megtakarításba fektette volna:






Ha a havi dohányzásra költött pénzt élete során évi 12%-os hozammal (kamatos kamatozást feltételezve) bíró megtakarításba fekteti, az eredmény:


224.476.691 Ft
azaz

több mint kettőszázhuszonnégy millió forint


Számoljon utána! Megéri!  A dohányzó férj/feleség házaspárja is általában a dohányosok táborát erősíti. Amennyiben mindez Önöknél is így van  akár ezen összeg többszörösét is elköltik a havi cigaretta-szükségletre - igaz?

Ha csupán 25 000 Ft-ot jövő hónaptól saját tisztes öregkorukra fordítanak, egyrészt egészségesebben fognak élni, másrészt megteremtik saját időskori anyagi biztonságukat is!


Keressenek, segítek!


Oszd meg, mentsd el! - TurboBookmark.com



Weblap látogatottság számláló:

Mai: 68
Tegnapi: 20
Heti: 243
Havi: 555
Össz.: 66 123

Látogatottság növelés
Oldal: Elfüstölt milliók
Hideg Attila független üzletviteli tanácsadó, nyugdíjspecialista honlapja - © 2008 - 2025 - nyugdijspecialista.hupont.hu

A HuPont.hu ingyen adja a tárhelyet, és minden szolgáltatása a jövőben is ingyen ...

ÁSZF | Adatvédelmi Nyilatkozat

X

A honlap készítés ára 78 500 helyett MOST 0 (nulla) Ft! Tovább »